加载中...

点击这里给我发消息

QQ群:417857029

常识

一文看懂脂环族环氧树脂及其应用

来源:互联网2020年06月24日

阅读次数:

 

脂环族环氧树脂是环氧树脂的一个分支,是具有脂肪族化合物的一般性质和碳环的结构的化合物。在有机化学中,一般将有机物分为三类:1. 开链化合物,分子中的碳原子连接成链状,又称为“脂肪族化合物”;2. 碳环化合物,分子中的碳原子连接成环状,包括脂环族和芳香族化合物;3. 杂环化合物,即分子中含有其他原子(如O、N、S、P等)的环状化合物。所谓脂环族环氧树脂,工业上通常是由含有两个双键的脂环烯烃化合物经过过氧化物(如过氧化乙酸)的氧化作用形成环氧化脂环烯烃化合物。

如新纳希牌号S-06E,其分子结构如下:

 

由于脂环族环氧树脂的环氧基直接连接在脂环上,可以形成紧密的刚性分子结构,固化后交联密度大,从而热变形温度较高,马丁耐热温度达到190℃以上,热分解温度大于360℃。因此,它的固化收缩率小,拉伸强度高,热稳定性较好。

由于合成过程中不含氯、钠等离子,因此脂环族环氧树脂具有较好的介电性能,无论是从比电阻还是从介电损耗角正切值看,均较双酚A型环氧树脂为优。

不同于普通双酚A型环氧树脂,脂环族环氧树脂的分子结构中不含苯环,因此具备了良好的耐候性能和抗紫外辐射,配套阳离子型光引发剂UVI-6976或UVI-6992,非常适合用在光固化体系里。

脂环族环氧树脂对酸酐的反应活性比对胺类的反应活性大,在酸酐性体系中能充分固化,可以避免使用毒性大、挥发性大的胺类固化剂,对操作人员比较安全。

 

一文看懂脂环族环氧树脂及其应用
脂环族环氧树脂光固化领域的应用
一文看懂脂环族环氧树脂及其应用

先用一张图来带您了解南通新纳希的几款脂环族环氧树脂。

 

S-06E

作为一款高纯度、低粘度、低卤素的脂环族环氧树脂,S-06E透明度高,总氯含量(VOC) 可做到50ppm以内,具有出色的抗紫外线性能和抗辐射性能。它既可光固化,也可与酸酐 (甲基四氢苯酐,甲基六氢苯酐) 进行热固化,在催化剂作用下可与脂肪胺固化,常用于光固化涂料、电子胶、绝缘材料、LED封装胶、3D打印等行业,尤其用于LED封装等电子行业时,能发挥极好的电绝缘性能。

 

S-21

S-21与S-06E的CAS号相同,属于同一物质,只是S-21纯度略低,价格也略低,常用于光固化涂料、光固化油墨、复合材料、UV胶等行业,对卤素要求并不严格。

 

S-28

S-28是一款柔韧性极佳的脂环族环氧树脂,适用于需要更高粘度或更柔韧薄膜的众多应用中。它既可以进行光固化,也可以和酸酐进行热固化。典型应用包括金属装饰涂料、罩光油、软包装和层压粘合剂。

 

S-28E

同样地,S-28E与S-28的CAS号相同,属于同一物质,由于我们对S-28E进行了严格的卤素控制,总氯含量可以达到50ppm以内,主要应用于LED封装、光固化油墨和涂料、高压电器元件、电容油、变压器油等领域。

 

 

1

UV阳离子固化原理

 

 

UV(紫外)光固化材料在紫外光的照射下,具有化学活性的液体配方在基体表面实现快速固化形成的固态涂膜。作为一种新型技术,UV固化技术具有“5E”的特点:Efficiency (高效),UV固化设备紧凑,可连续生产,提高效率;Economy (经济),UV固化工艺节省原料,能有效降低成本;Energy (节能),固化时间短,无需加热,可节约能源;Ecology (生态),体系VOC含量低,生产中无过多有害气体;Enabling (多能),可适用于木材、金属、塑料等多种基材的表面施工过程。

 

2

光固化涂料/油墨应用

 

一文看懂脂环族环氧树脂及其应用

 

环氧树脂在涂料中的应用占较大比例,它能制成各具特色、用途各异的品种。其共性:

(1)耐化学品性优良,尤其是耐碱性。

(2)漆膜附着力强,特别是对金属。

(3)具有较好的耐热性和电绝缘性。

(4)漆膜保色性较好。

双酚A型环氧树脂涂料的耐候性较差,漆膜在户外易粉化失光又欠丰满,不宜用作户外涂料及高装饰性涂料。因此普通环氧树脂涂料主要用作防腐蚀漆、金属底漆、绝缘漆,但杂环及脂环族环氧树脂制成的涂料可以用于户外。

紫外光固化涂料因其固化快、无需高温、不产生气泡、膜面光泽好等优点日益受到广泛重视。以脂环族环氧为主要成分制得的这类涂料耐候性强、硬度高、耐磨、抗冲击、耐化学腐蚀、粘接性好,可用于印刷线路板阻焊油墨、光盘的外涂料及金属、塑料的罩面保护等。

 

3

光固化3D打印应用

 

 

由于脂环族环氧树脂具有低粘度、低溶胀、固化快、低收缩率、高光敏度的特点,在光固化领域有着极为广阔的应用前景,尤其在新兴市场——3D打印领域,下游客户对高性能配方的追求以及政府对环保要求的提高,必定会推动脂环族环氧树脂需求的大幅增长。

脂环族环氧树脂通常用于SLA光固化立体成型的阳离子感光体系,应用领域包括:

(1)电子产品模具开发

(2)用于工程设计的测试模型制作

(3)三维人体及器官复制,用于辅助诊断、辅助手术等

 

 

一文看懂脂环族环氧树脂及其应用
脂环族环氧树脂热固化应用
一文看懂脂环族环氧树脂及其应用

常用的环氧固化剂花样繁多,固化技术也多种多样 (热固化、微波固化、光固化等),但大多数适于光固化的环氧树脂不一定适于热固化,当然也有光固和热固都行的,但是这样的体系比较少,脂环族环氧树脂就是其中一例。

 

1

环氧热固化剂分类

环氧树脂通常作为涂料、复材和胶黏剂等材料的基体,广泛应用于建筑、电子电气、航空航天等领域。一个完整的环氧树脂体系一般由四种成分组成,包括环氧树脂、改性剂、流动性调节剂和其他成分 (颜料、溶剂、消泡剂、流平剂、增粘剂等) 。但实际应用时,不一定要这四种成分都具备,但树脂成分必须包括固化剂,可见固化剂的重要性。

脂环族环氧树脂的主要热固化方式即酸酐固化。酸酐固化剂常用的为六氢苯酐、甲基四氢苯酐、氯乙酸酐等。它的挥发性小,毒性小,对皮肤的刺激性也小。而且它的使用期长,操作也方便。通常酸酐类固化速度较慢,但固化物刚性好。

主要酸酐分类:

1. 顺酐>苯酐>四氢苯酐>甲基四氢苯酐

2. 六氢苯酐>甲基六氢苯酐

3. 甲基纳迪克酸酐

4. 均苯四甲酸二酐

5. 改性酸酐

6. 酸酐分子中负电性取代基则活性增强

 

2

酸酐体系下的脂环族环氧树脂

脂环族环氧树脂的固化物具有以下特点

①较高的压缩与拉伸强度;

②长期暴置在高温条件下仍能保持良好的力学性能;

③耐电弧性、耐紫外光老化性能及耐气候性较好。

环氧树脂/酸酐体系由于粘度低,使用寿命长,固化放热量小,收缩率低,固化产物的耐热性高和力学性能优良而在国民经济的各个领域得到了极为广泛的应用。通常环氧树脂/酸酐体系在低温下固化速率非常缓慢,只能在高温时才能固化,当封装电子元器件时,过高的温度会损坏元器件,因此,有时需要用催化剂降低固化温度,同时加快固化速率。

 

3

酸酐热固化原理

酸酐固化环氧树脂体系具有优异的机械物理性能和高温稳定性能。

酸酐的热固化反应分为无促进剂有促进剂存在两种情况。

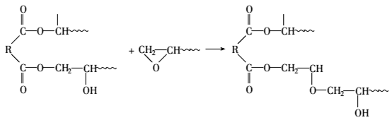
当无促进剂存在时,首先是环氧树脂中的羟基使酸酐开环,生成单酯和羧酸:

一文看懂脂环族环氧树脂及其应用

羧酸对环氧基加成,生成二酯和羟基:

一文看懂脂环族环氧树脂及其应用

酯化生成的羟基与环氧基发生醚化反应:

一文看懂脂环族环氧树脂及其应用

如此开环-酯化-醚化反应不断进行下去,直至环氧胶黏剂交联热固化。

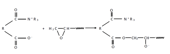
当有路易斯碱 (如叔胺)促进剂存在时,叔胺进攻酸酐,生成羧酸盐阴离子;此羧酸盐阴离子与环氧基反应生成烷氧阴离子;烷氧阴离子与别的酸酐反应,再生成羧酸盐阴离子。反应依次进行下去,逐步进行加成聚合,而使环氧树脂固化。有促进剂存在时,酸酐热固化反应生成的全是酯键,未发现有醚键生成。酸酐在促进剂存在时的热固化反应按如下历程进行。

叔胺进攻酸酐生成羧酸盐阴离子:

一文看懂脂环族环氧树脂及其应用

羧酸盐阴离子与环氧基反应生成烷氧阴离子:

一文看懂脂环族环氧树脂及其应用

烷氧阴离子与另一个酸酐反应生成羧酸盐阴离子:

一文看懂脂环族环氧树脂及其应用

在促进剂存在时,环氧树脂的热固化速度也受体系内羟基浓度的支配。因此,添加促进剂对液态环氧树脂非常有效,120~150℃即能完成热固化反应。

 

4

热固化复合材料应用

脂环族环氧树脂 (环氧化脂环烯烃化合物) 是含有两个脂环环氧基的低分子化合物。本身不是聚合物,但是与固化剂作用后能生成性能优异的三维体型结构的聚合物。

脂环族环氧化合物的耐热性、力学性能及耐候性好,尤其是粘度小,适用期长,特别适用于湿法层压成型和缠绕成型制造高强度耐热复合材料

 

5

热固化模具制造应用

脂环族环氧化合物还可作塑料模具中的树脂组分,所得的固化物耐热性好,有较好的机械强度,体积收缩率小,精确度较高,适合做精密铸模和模具。比起金属模具,它具有易于加工、价格低、重量轻、利于模塑操作等优点

信息来源:南通新纳希

  • 标签:
相关阅读

本站所有信息与内容,版权归原作者所有。网站中部分新闻、文章来源于网络或会员供稿,如读者对作品版权有疑议,请及时与我们联系,电话:025-85303363 QQ:2402955403。文章仅代表作者本人的观点,与本网站立场无关。转载本站的内容,请务必注明"来源:林中祥胶粘剂技术信息网(www.adhesive-lin.com)".

网友评论

©2015 南京爱德福信息科技有限公司   苏ICP备10201337 | 技术支持:建站100

客服

客服
电话

1

手机:18114925746

客服
邮箱

565052751@qq.com

若您需要帮助,您也可以留下联系方式

发送邮箱

扫二
维码

微信二维码